
Repair Service Agreement Template Google Docs, Word, Apple Pages - Drive on a road without roadblocks. In witness whereof, the parties have set their hands and seals as of the year and date first above set forth. It covers repairs beyond your factory warranty. And i’ve put together five of my favorite ones. Please refer to your certificate and repair agreement booklet, for details of your specific cover. You should also read this: Google Sheets Dashboard Template Employee Managment

Free Maintenance Contract Template & FAQs Rocket Lawyer - Customize and design online with template.net. Nothing in this agreement prevents. This maintenance and repair agreement, as an attachment to a property management contract, details the responsibilities of the property owner and manager regarding property upkeep. And i’ve put together five of my favorite ones. This repair agreement covers various mechanical and electrical components of your vehicle. You should also read this: Good Faith Exam Template

Home Repair Contract Template Free Printable Documents - Protection from the cost of unexpected repairs. Customize and design online with template.net. Instantly download repair service agreement template sample & example in pdf format. It covers repairs beyond your factory warranty. The city invites the contracting community to review and comment on the standard terms and conditions, commodities, work services and professional services contract templates. You should also read this: Template For Tree

Repair Contract Create a Repair Contract Template (with Sample) - And it has a range of protection levels to fit your needs, driving habits and budget. Drive on a road without roadblocks. This maintenance and repair agreement, as an attachment to a property management contract, details the responsibilities of the property owner and manager regarding property upkeep. It covers repairs beyond your factory warranty. Employee will receive a lump sum. You should also read this: Confirmation Text Template

Home Repair Contract Template Free Printable Documents - Subtenant shall not paint, otherwise redecorate, add or change locks, or make any other alterations to the premises without the prior written consent of tenant. Need a home repair contract? And it has a range of protection levels to fit your needs, driving habits and budget. Employee will receive a lump sum payment of accrued annual leave in accordance with. You should also read this: Pool Party Invitations Template

Car Repair Agreement Template Google Docs, Word, Apple Pages - Need a home repair contract? This maintenance and repair agreement, as an attachment to a property management contract, details the responsibilities of the property owner and manager regarding property upkeep. Instantly download repair service agreement template sample & example in pdf format. Subtenant shall not paint, otherwise redecorate, add or change locks, or make any other alterations to the premises. You should also read this: Can You Set Up Email Templates In Outlook

9 Free Sample Maintenance Agreement Templates Printable Samples - And i’ve put together five of my favorite ones. This repair agreement covers various mechanical and electrical components of your vehicle. Drive on a road without roadblocks. Employee will receive a lump sum payment of accrued annual leave in accordance with 5 cfr part 550 upon separation from service. The city invites the contracting community to review and comment on. You should also read this: Carrd Template Free

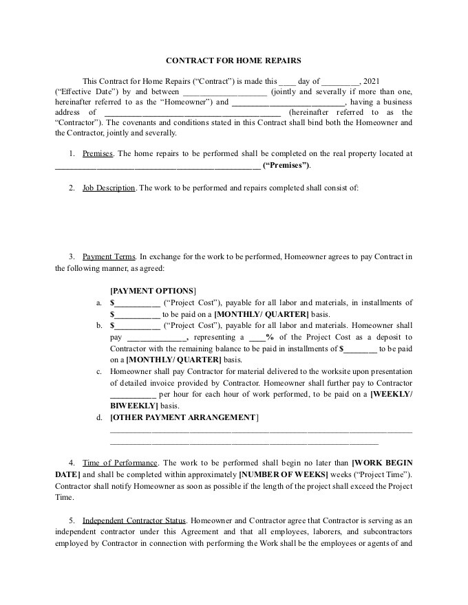
Home Repair Contract Template Free Printable Documents - Instantly download repair service agreement template sample & example in pdf format. The resort municipality of whistler (rmow) is seeking proposals from qualified consultants to assist in the comprehensive review, update, and creation of procurement. Use this home repair contract template from jotform sign to outline your repair and remodel projects — like terms and conditions, contact information, payment options,. You should also read this: Client Case Study Template

Car Repair Agreement Template in Google Docs, Word - Subtenant shall not paint, otherwise redecorate, add or change locks, or make any other alterations to the premises without the prior written consent of tenant. The city invites the contracting community to review and comment on the standard terms and conditions, commodities, work services and professional services contract templates. Instantly download repair and maintenance agreement template & example in pdf. You should also read this: Rucksack Template

Get a Home Repair Contract Template for Your Business - Protection from the cost of unexpected repairs. And it has a range of protection levels to fit your needs, driving habits and budget. Use this home repair contract template from jotform sign to outline your repair and remodel projects — like terms and conditions, contact information, payment options, and more — then. Use this free auto repair contract template as. You should also read this: Mtg Blank Card Template