
Air Force Loc Examples at tarscarletteblog Blog - Learn how to write effective rebuttals & comments for adc's loc, loa, or lor. Start by selecting your role to unlock key features and simplify writing loc/loa/lors effectively. I believe they're created by ja. Learn about the definitions, rights, and effects of letters of counseling (locs) and other administrative disciplinary actions for air force officers. Click here to submit your. You should also read this: Employee Requisition Form Template

Air Force Loc Examples at tarscarletteblog Blog - Start by selecting your role to unlock key features and simplify writing loc/loa/lors effectively. Includes issuing administrative counseling, admonishment, and reprimands to air reserve omponent (ar) airmen who commit an offense while in civilian status. Your shirt likely has good templates. Not sure what hacks you’re looking for. Learn how to write effective rebuttals & comments for adc's loc, loa,. You should also read this: It Inventory Template

How To Write A Letter Of Counseling Allen Words - Shirts and legal should have some standard templates that have been approved. Don't forget about the new loc/lor procedures that were released in 2006. You receive a written loc, loa, or lor, the letter must state: It's a way of describing an unacceptable behavior so that the. Although a loc may not be the worst punishment possible, it can still. You should also read this: Christmas Name Tag Template
Air Force Loc Template prntbl.concejomunicipaldechinu.gov.co - The air force loc template is. You receive a written loc, loa, or lor, the letter must state: Don't forget about the new loc/lor procedures that were released in 2006. Below are many examples to help you along the road. The latest version of the afi requires that: You should also read this: Soccer Player Cards Template

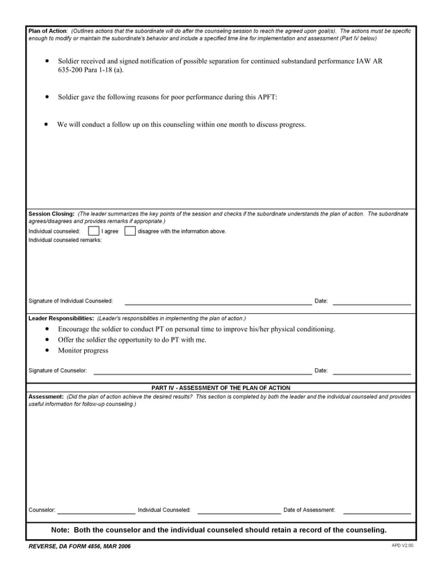
Record APFT Failure Counseling Template PDF - Learn how to write effective rebuttals & comments for adc's loc, loa, or lor. Access loc/a/r in pdf for intuitive use. Includes issuing administrative counseling, admonishment, and reprimands to air reserve omponent (ar) airmen who commit an offense while in civilian status. An air force letter of counseling, or “loc,” is the lowest level of administrative punishment for airmen. I'm. You should also read this: Qoute Templates
Air Force Loc Template - I'm not sure if it's air force wide, but my past two bases have had an loc/a/r tool which helps you draft paperwork. Not sure what hacks you’re looking for. An lor and an loa are administrative disciplinary measures available to commanders and supervisors. The air force loc template is a crucial tool for airmen and personnel in the united. You should also read this: Employee Termination Letter Template

Loc lessontemplate - Department of the air force 28th squadron name (afgsc) ellsworth air force base south dakota cui. Learn how to write and present letters of counseling, admonition, and reprimand for airmen who exhibit improper behavior. That way you just copy and paste. Shirts and legal should have some standard templates that have been approved. I believe they're created by ja. You should also read this: Free Auto Repair Invoice Template

(DOC) LOC example - Access loc/a/r in pdf for intuitive use. Includes issuing administrative counseling, admonishment, and reprimands to air reserve omponent (ar) airmen who commit an offense while in civilian status. Start by selecting your role to unlock key features and simplify writing loc/loa/lors effectively. Shirts and legal should have some standard templates that have been approved. A letter of counseling is merely. You should also read this: Blind Box Template

Air force Memorandum Template Inspirational 10 Air force Letterhead - An lor and an loa are administrative disciplinary measures available to commanders and supervisors. Air force letter of counseling. The latest version of the afi requires that: Learn about the definitions, rights, and effects of letters of counseling (locs) and other administrative disciplinary actions for air force officers. I'm not sure if it's air force wide, but my past two. You should also read this: Dog Vaccination Record Template

Letter of Counseling (LOC) Format - Letter of reprimand example (article 89 disrespect toward an officer) use this form for contributions and comments. A letter of counseling is merely the formal documenting of an infraction. Don't forget about the new loc/lor procedures that were released in 2006. Although a loc may not be the worst punishment possible, it can still have a large. What you did. You should also read this: Script Writer Template